baner reklamowy ETLOG - Profesjonalne etykiety logistyczne w standardzie GS1 Sprawdź sam
Baner reklamowy - Za kulisami dostawy pewnej przesyłki... Pierwsze tak szczegółowe badanie procesu dostawy kurierskiej. Przeczytaj
Baner reklamowy Łukasiewicz - Poznański Instytut Technologiczny - Weryfikacja kodów i etykiet logistycznych. Sprawdź

Harmonogramowanie dostaw wyrobów alkoholowych na obszarze UE – rozpoznanie problemu – cz. 2

Harmonogramowanie dostaw wyrobów alkoholowych na obszarze UE - rozpoznanie problemu - cz. 2

Harmonogramowanie dostaw wyrobów alkoholowych na obszarze UE – rozpoznanie problemu – cz. 1

Harmonogramowanie dostaw wyrobów alkoholowych na obszarze UE – rozpoznanie problemu – cz. 3

Kryteria optymalizacji, jakie należałoby uwzględnić dokonując planowania, to:
1. Minimalizacja poziomu zapasów w całym łańcuchu dostaw, na którą składają się następujące podkryteria:

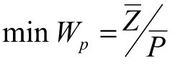
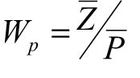
a. Minimalizacja poziomu zapasów w magazynach odbiorcy. Kryterium to w zależności od typu produktu i poziomu rotacji może być wyrażone w dwojaki sposób. Dla produktów, na które jest największe zapotrzebowanie, ze względu na wysoki procentowy udział takich produktów w całości zajmowanej powierzchni magazynowej istotna jest minimalizacja zajmowanej powierzchni magazynowej. Dla produktów z ograniczonym i krótkim terminem przydatności lepszym miernikiem od zajmowanej powierzchni magazynowej wydaje się być wskaźnik pokrycia potrzeb zapasem wyrażony wzorem [Kisperska-Moroń, Krzyżaniak, 2009]:

Harmonogramowanie dostaw wyrobów alkoholowych na obszarze UE - rozpoznanie problemu - cz. 2

gdzie:

Z – średni zapas w badanym okresie,
p – średni prognozowany popyt w okresie objętym pomiarem.

Omawiane kryterium przyjęłoby zatem postać:

Harmonogramowanie dostaw wyrobów alkoholowych na obszarze UE - rozpoznanie problemu - cz. 2

Oczywiście zaproponowane wskaźniki to jedynie znaczące uogólnienie kwestii zarządzania zapasami. Aby kompleksowo podejść do optymalizacji poziomu zapasów wskazane byłoby szczegółowe określenie kosztów magazynowania oraz kosztów utrzymania zapasów. Wskaźniki te nie są jednak powiązane jedynie z wielkością zapasu, a przez to nie mogą być kontrolowane jedynie za pomocą harmonogramowania dostaw.

b. Minimalizacja poziomu zapasów w magazynach dostawcy. Jednym z założeń przyjętych przez autora jest w tym wypadku wytwarzanie partii produkcyjnej dokładnie pod zapotrzebowanie odbiorcy. Założenie to znalazło swoje odzwierciedlenie również w ograniczeniach, gdzie narzucona została minimalna wielkość zamówienia, odpowiadająca minimalnej partii produkcji (ograniczenie 5). Tak opisane kryterium w znaczący sposób upraszcza rozważania i pozwala na zarządzanie zapasami w całym łańcuchu dostaw przez odbiorcę, co jest zgodne z przyjętym założeniem.

c. Minimalizacja poziomu zapasu w drodze. Odpowiednie harmonogramowanie pozwala minimalizować czas transportu, a także konieczność składowania towaru przez przedsiębiorstwo transportowe lub operatora logistycznego, dzięki czemu minimalizowana jest wielkość zapasu w drodze. Przez odpowiednie harmonogramowanie rozumie się jednak w tym wypadku jedynie wybór odpowiedniej daty załadunku i daty dostawy, co z kolei można uzyskać w prosty sposób dodając szereg ograniczeń, pozwalających na jak najkorzystniejsze wykorzystanie środków transportu (ograniczenia 2. d oraz 3). Wprowadzenie takich ograniczeń pozwoli tak harmonogramować dostawy, aby transport mógł odbyć się bez zbędnych przestojów, a rozładunek bezpośrednio po zakończeniu transportu.

2. Równoważenie obciążenia magazynów:
a. Równoważenie obciążenia magazynu dostawcy. Każdy rzeczywisty system logistyczny cechuje się pewnymi ograniczeniami wynikającymi z realnych możliwości załadunkowych, produkcyjnych, itp. Zwykle mocno niepożądane są nagłe, duże i skokowe wzrosty zapotrzebowania, powodujące przeciążenie systemu w pewnym okresie czasu, tylko po to, aby w kolejnym okresie czasu system pozostawał niewykorzystywany w odpowiednim stopniu. Jednym z elementów zapobiegających powstaniu takich sytuacji jest równomierne harmonogramowanie załadunków. Jest to kryterium uwzględniające oczekiwania dostawcy (równomierne, a przez to lepsze wykorzystanie zdolności produkcyjnych, załadunkowych itd.) oraz przedsiębiorstwa transportowego (równomierne obciążenie taboru). Aby kryterium miało charakter ilościowy za miarę równomierności można przyjąć różnicę między maksymalną a minimalną liczbą załadunków na przestrzeni określonego odcinka czasu.

b. Równoważenie obciążenia magazynu odbiorcy. Jest to kryterium analogiczne do opisanego powyżej równomiernego rozłożenia liczby załadunków, tyle że istotne z punktu widzenia odbiorcy. Występuje jedynie wtedy, gdy odbiorca przewozi towary z różnych miejsc, a przez to czas transportu jest znacznie zróżnicowany. W przeciwnym wypadku oba kryteria będą ze sobą silnie skorelowane, gdyż ewentualne różnice w równomierności rozłożenia załadunków i rozładunków będą wynikały jedynie z różnic czasowych transportu na tej samej trasie. Może to zatem w niektórych przypadkach oznaczać konieczność rezygnacji z jednego z kryteriów równomierności, aby uniknąć ich redundancji [Roy, 1993].

Artykuł pochodzi z czasopisma „Logistyka” 6/2011.

L2011-6s38.pdf