
Obserwowane w praktyce wartości poziomu obsługi przy odnawianiu zapasu w oparciu o tak zwany poziom informacyjny, są często istotnie niższe od wartości oczekiwanych, wynikających z zastosowania klasycznego wzoru na obliczanie poziomu informacyjnego zapasu. W artykule omówiono możliwe przyczyny tego zjawiska i zaproponowano korektę wzoru na obliczanie poziomu informacyjnego, uwzględniającą konsekwencje nieciągłego przeglądu stanu zapasów w tym systemie. Model analityczny został zweryfikowany badaniami symulacyjnymi.
Przesłanki modyfikacji klasycznej formuły na obliczanie poziomu informacyjnego zapasu w przypadku nieciągłego przeglądu stanu zapasu
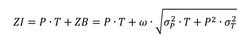
Odnawianie zapasu oparte na poziomie informacyjnym (punkcie ponownego zamówienia, ang. Reorder Point) jest – obok przeglądu okresowego – jednym z dwóch podstawowych sposobów zamawiania. Jego realizacja zasadza się na prostej regule: złożenie zamówienia w stałej, uzgodnionej wcześniej z dostawcą wielkości, w chwili gdy poziom zapasu wolnego (dysponowanego) osiągnie obliczony poziom informacyjny ZI [2,3]:

gdzie:
P – średni popyt w przyjętej jednostce czasu (na przykład dzień, tydzień),
T – czas cyklu uzupełnienia zapasu,
ZB – zapas zabezpieczający (uwzględnia możliwe losowe zmiany popytu oraz czasu cyklu uzupełnienia) zależny od popytu P, czasu cyklu uzupełnienia T oraz:
– Poziomu obsługi – współczynnik bezpieczeństwa
– Odchylenia standardowego popytu σp
– Odchylenia standardowego czasu T – σT.
Zarówno formuła, jak i sama zasada realizacji takiego odnawiania zapasu są bardzo proste i są szeroko stosowane w praktyce. Jednak właśnie tam obserwuje się często odstępstwa rzeczywistych wyników (zwłaszcza rzeczywistego poziomu obsługi) od przyjętych założeń. Z pewnością, jedną z częstszych i ważniejszych przyczyn są znaczące różnice pomiędzy rzeczywistym rozkładem popytu, a rozkładem zakładanym w obliczeniach wielkości zapasu zabezpieczającego. W tym artykule zwrócona zostanie uwaga na inne możliwe przyczyny tego niekorzystnego zjawiska.
Artykuł zawiera około 10200 znaków.
Źródło: Czasopismo Logistyka 5/2013










