
Szacowanie ryzyka w logistycznym procesie transportu – cz. 1
Uzyskanie nowego modelu funkcjonowania oraz określonej postaci diagramu Hasse, ma swoje konsekwencje dla kosztów realizacji logistycznego procesu transportu. W wyniku przeprowadzonej operacji następuje rozszczepienie zmiennych zdaniowych.
Zmienne te odzwierciedlają czynniki ryzyka występujące w badanym procesie transportu, charakteryzujące się określonym prawdopodobieństwem i skutkiem występowania czynników ryzyka, czyli dublowanie czynności przełoży się na ostateczny poziom kosztów. Przez zastosowanie zasady charakteryzacji w prosty sposób widać, iż występowanie czynników ryzyka ma swe konsekwencje nie tylko w miejscu powstania zdarzenia. Efekty przekładają się często na inne obszary funkcjonowania przedsiębiorstwa, a nawet na całą organizację. Po wykonanej charakteryzacji możemy skalkulować rzeczywiste koszty wystąpienia czynników ryzyka.
Uzyskanie informacji o rzeczywistych kosztach, jakie ponosi przedsiębiorstwo w związku z występowaniem czynników ryzyka, ukazujące strukturalno – funkcjonalne zależności modelu, opisano na przykładzie badań przeprowadzonych w Firmie K. Do przeprowadzania analizy zostanie wykorzystany symulator AWZR.
Przykład
Na podstawie danych uzyskanych podczas przeprowadzonych badań w roku 2008 w Firmie K określono funkcję zdaniową opisującą występowanie czynników ryzyka w logistycznym procesie transportu. Funkcję zdaniową uzyskujemy wybierając pierwszy moduł model funkcji zdaniowej (rysunek 1). Wprowadzamy listę czynników ryzyka występujących w przedsiębiorstwie oraz informację o prawdopodobieństwie i skutkach ich występowania.
Aby uzyskać funkcję zdaniową wybieramy Firmę, określony rok i zaznaczamy w kolumnie „wybór” te czynniki ryzyka, których analizę chcemy przeprowadzić (por. rysunek 1).
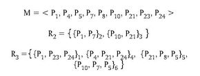
Analizie zostanie poddanych 9 z 24 czynników ryzyka wymienionych w tabeli 1. Na tej podstawie funkcja zdaniowa przyjęła następującą postać:

Model funkcjonowania Ψa funkcji zdaniowej ZPx jest zadany jako zestawienie:

gdzie:
M – zbiór zmiennych zdaniowych;
R2 – zbiór relacji określonych 2-elementowymi członami alternatywnymi opisujących obszar produkcja, dystrybucja,
R3 – zbiór relacji określonych 3-elementowymi członami alternatywnymi opisujących obszar zaopatrzenie, transport, magazynowanie, zarządzanie procesami logistycznymi)

Moduł model funkcjonowania symulatora AWZR, umożliwia uzyskanie graficznej postaci modelu funkcjonowania (rysunek 2). Postać graficzna powstaje w następujący sposób: dla każdej zmiennej zdaniowej występującej w modelu funkcjonowania zostaje określony numer koniunkcji, w której występuje: P1 (1,2), P4 (4), P30 (3,6), P21 (3,4,5), P23 (1), P7 (2,6), P8 (5), P5 (5,6), P24 (1,4). Zmienne zdaniowe stanowią wierzchołki grafu. Liniami połączone są zmienne zdaniowe występujące w tych samych koniunkcjach. I tak, na rysunku 2 zmienne zdaniowe występujące w koniunkcji pierwszej połączone są linią czerwoną, w drugiej linią zieloną, w trzeciej linią niebieską, w czwartej linią czarną, w piątej linią żółtą, w szóstej linią fioletową.
Artykuł pochodzi z czasopisma „Logistyka” 2/2012.










